Официальное опубликование правовых актов
ОФИЦИАЛЬНОЕ ОПУБЛИКОВАНИЕ
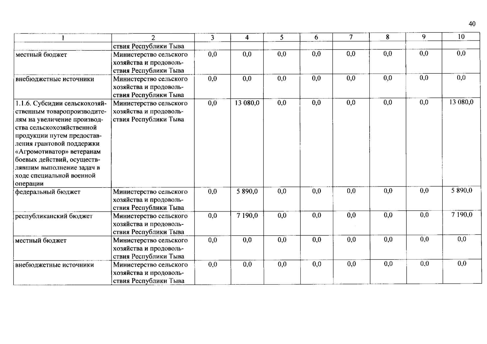
Постановление Правительства Республики Тыва от 17.12.2025 № 609
"О внесении изменений в государственную программу Республики Тыва "Развитие сельского хозяйства и регулирование рынков сельскохозяйственной продукции, сырья и продовольствия в Республике Тыва"
Номер опубликования: 1700202512220001
Дата опубликования: 22.12.2025
Страница №40 из 68:
Увеличить