Официальное опубликование правовых актов
ОФИЦИАЛЬНОЕ ОПУБЛИКОВАНИЕ
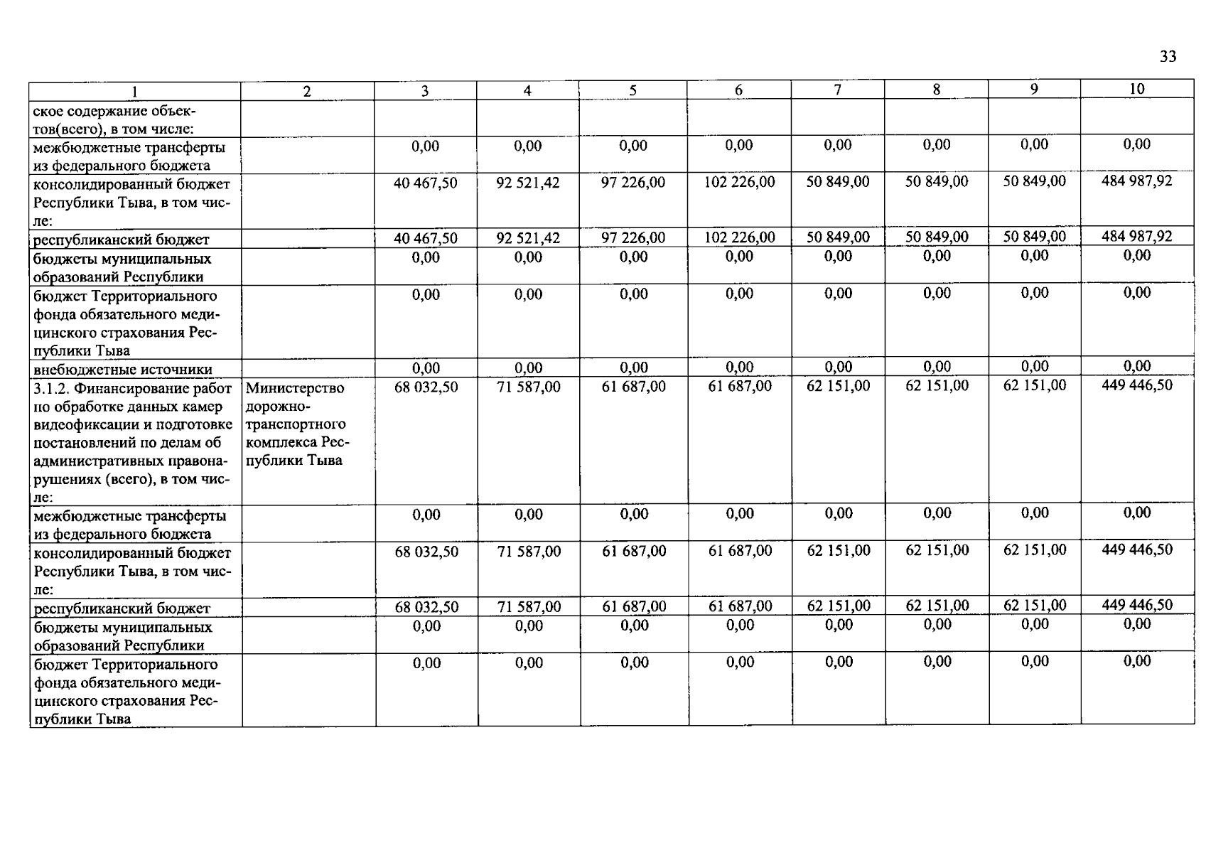
Постановление Правительства Республики Тыва от 28.08.2025 № 426
"О внесении изменений в государственную программу Республики Тыва "Развитие транспортной системы Республики Тыва"
Номер опубликования: 1700202509010005
Дата опубликования: 01.09.2025
Страница №33 из 39:
Увеличить