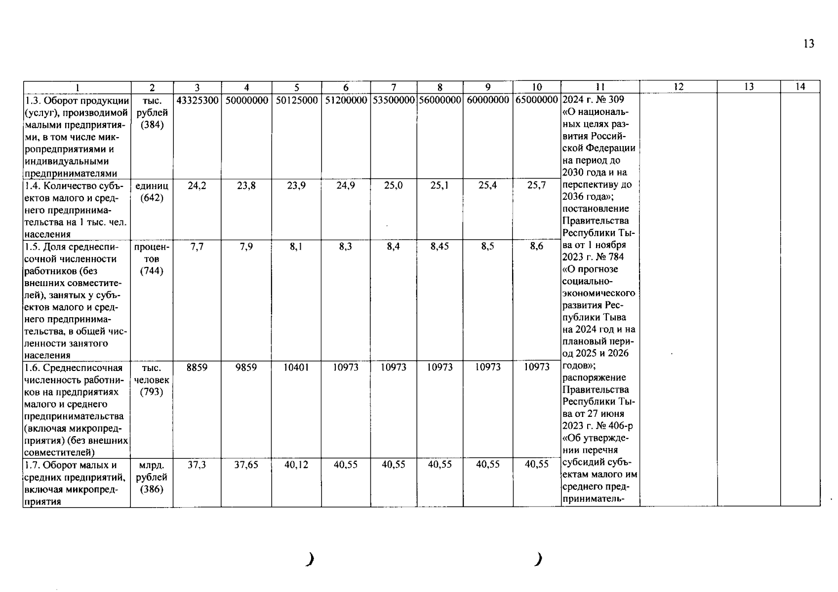
Постановление Правительства Республики Тыва от 13.08.2025 № 403
"О внесении изменений в государственную программу Республики Тыва "Развитие малого и среднего предпринимательства в Республике Тыва"
"О внесении изменений в государственную программу Республики Тыва "Развитие малого и среднего предпринимательства в Республике Тыва"
Номер опубликования: 1700202508140003
Дата опубликования:
14.08.2025
