Официальное опубликование правовых актов
ОФИЦИАЛЬНОЕ ОПУБЛИКОВАНИЕ
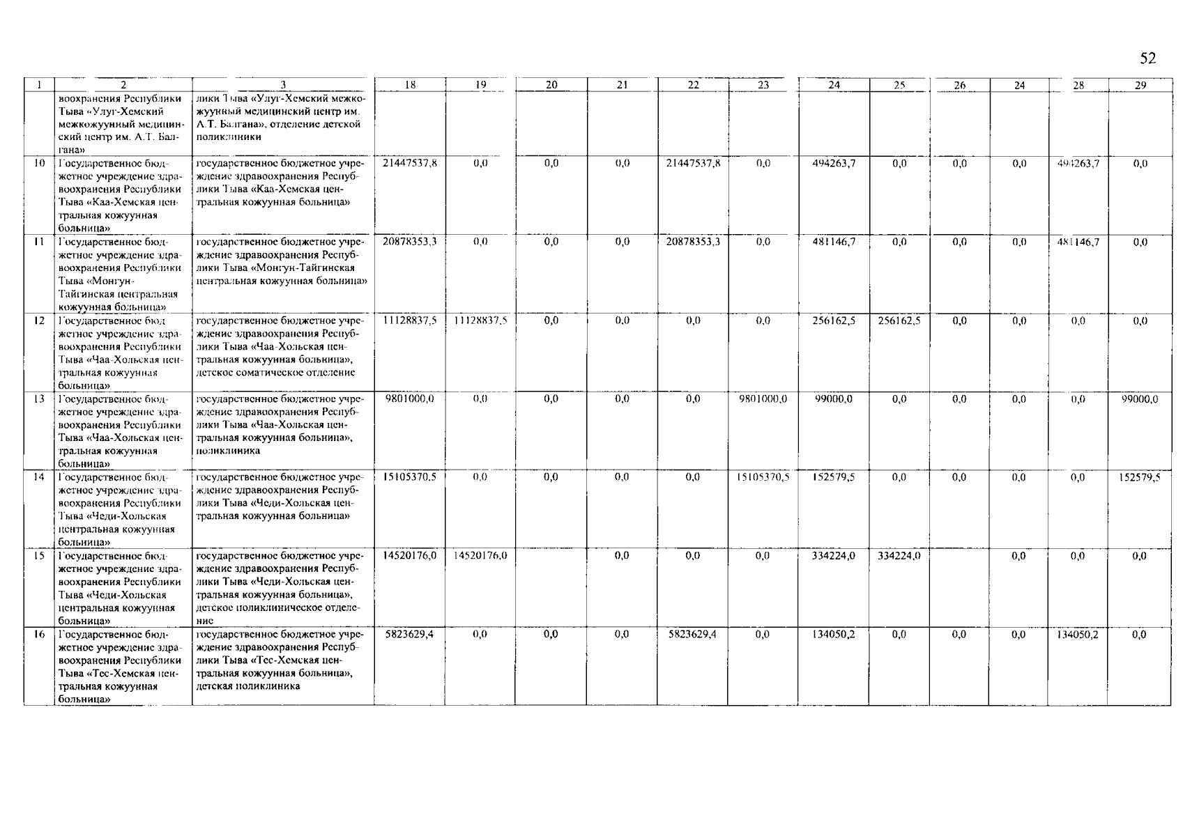
Постановление Правительства Республики Тыва от 29.05.2025 № 259
"О внесении изменений в региональную программу "Модернизация первичного звена здравоохранения Республики Тыва на 2021-2025 годы"
Номер опубликования: 1700202505300001
Дата опубликования: 30.05.2025
Страница №52 из 242:
Увеличить