Официальное опубликование правовых актов
ОФИЦИАЛЬНОЕ ОПУБЛИКОВАНИЕ
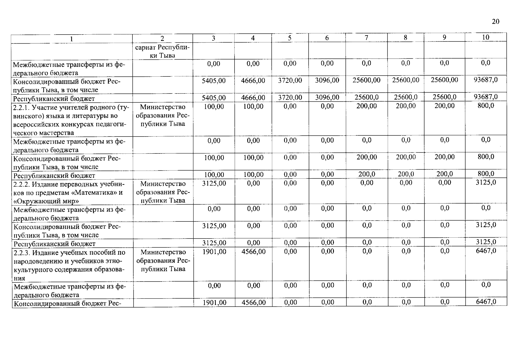
Постановление Правительства Республики Тыва от 21.05.2025 № 231
"О внесении изменений в государственную программу Республики Тыва "Развитие государственных языков Республики Тыва"
Номер опубликования: 1700202505220002
Дата опубликования: 22.05.2025
Страница №20 из 24:
Увеличить