Официальное опубликование правовых актов
ОФИЦИАЛЬНОЕ ОПУБЛИКОВАНИЕ
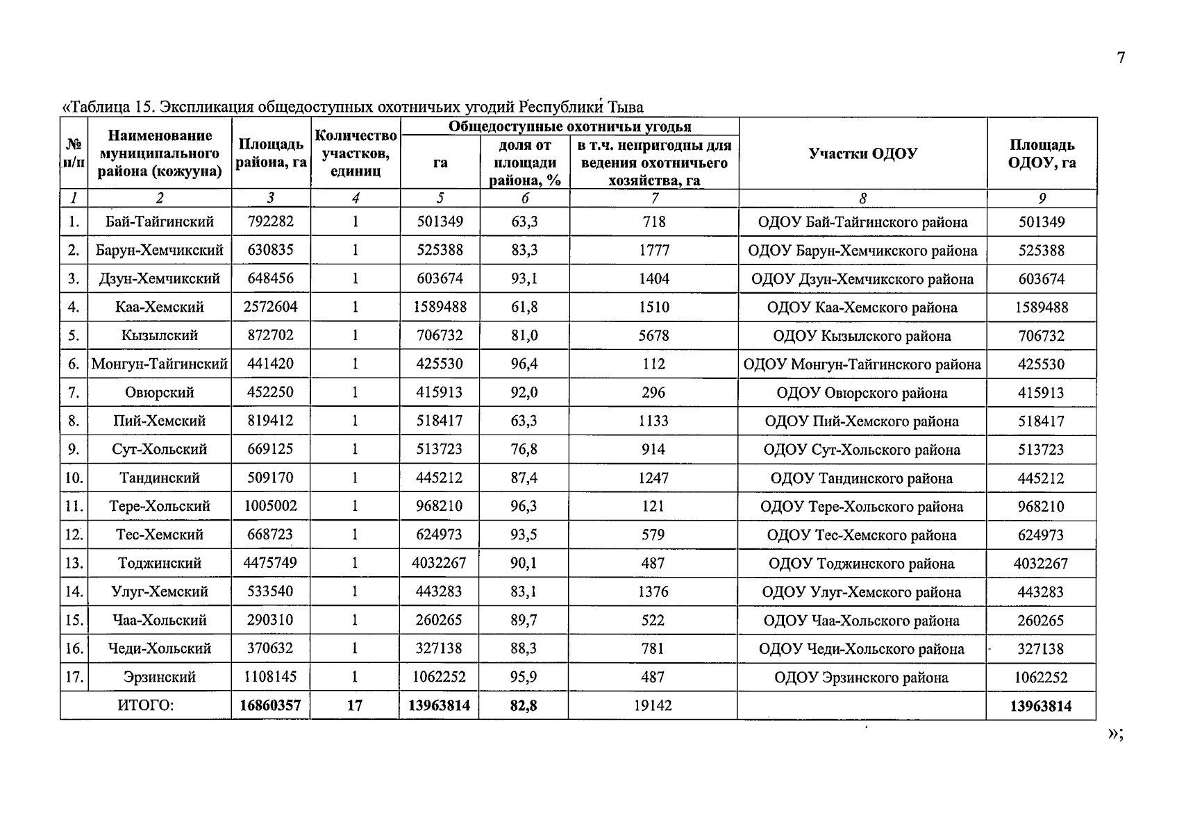
Указ Главы Республики Тыва от 12.05.2025 № 109
"О внесении изменений в Схему размещения, использования и охраны охотничьих угодий на территории Республики Тыва"
Номер опубликования: 1700202505160002
Дата опубликования: 16.05.2025
Страница №7 из 147:
Увеличить