Официальное опубликование правовых актов
ОФИЦИАЛЬНОЕ ОПУБЛИКОВАНИЕ
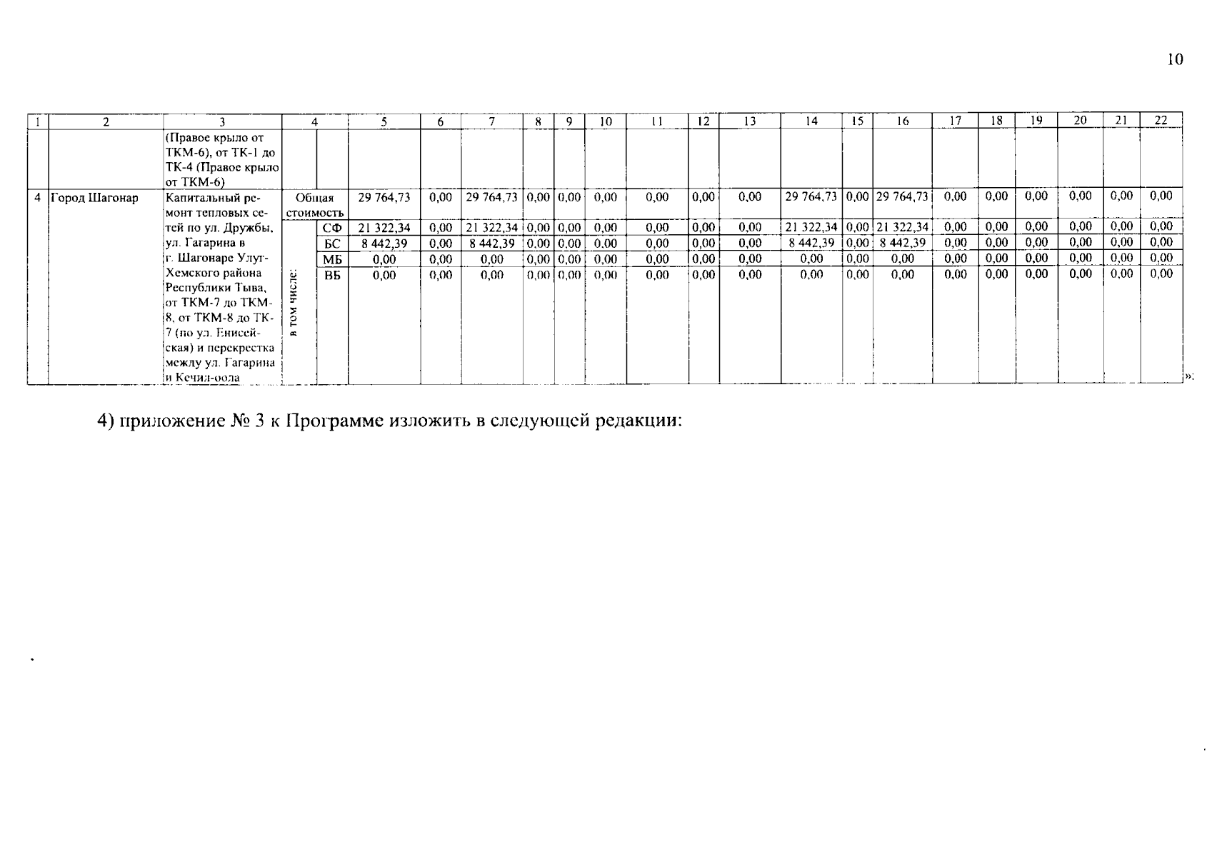
Постановление Правительства Республики Тыва от 02.04.2025 № 140
"О внесении изменений в региональную программу Республики Тыва "Модернизация систем коммунальной инфраструктуры Республики Тыва на 2023-2027 годы"
Номер опубликования: 1700202504070004
Дата опубликования: 07.04.2025
Страница №10 из 13:
Увеличить