Официальное опубликование правовых актов
ОФИЦИАЛЬНОЕ ОПУБЛИКОВАНИЕ
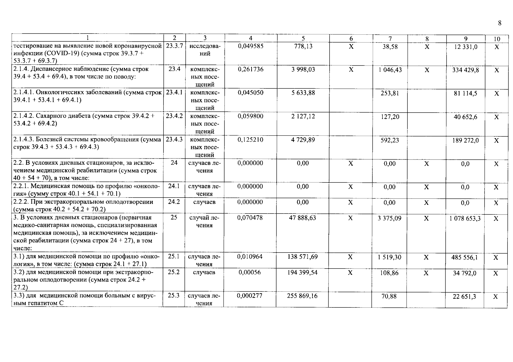
Постановление Правительства Республики Тыва от 25.03.2025 № 119
"О внесении изменений в Территориальную программу государственных гарантий бесплатного оказания гражданам медицинской помощи в Республике Тыва на 2024 год и на плановый период 2025 и 2026 годов"
Номер опубликования: 1700202503280002
Дата опубликования: 28.03.2025
Страница №8 из 28:
Увеличить