Официальное опубликование правовых актов
ОФИЦИАЛЬНОЕ ОПУБЛИКОВАНИЕ
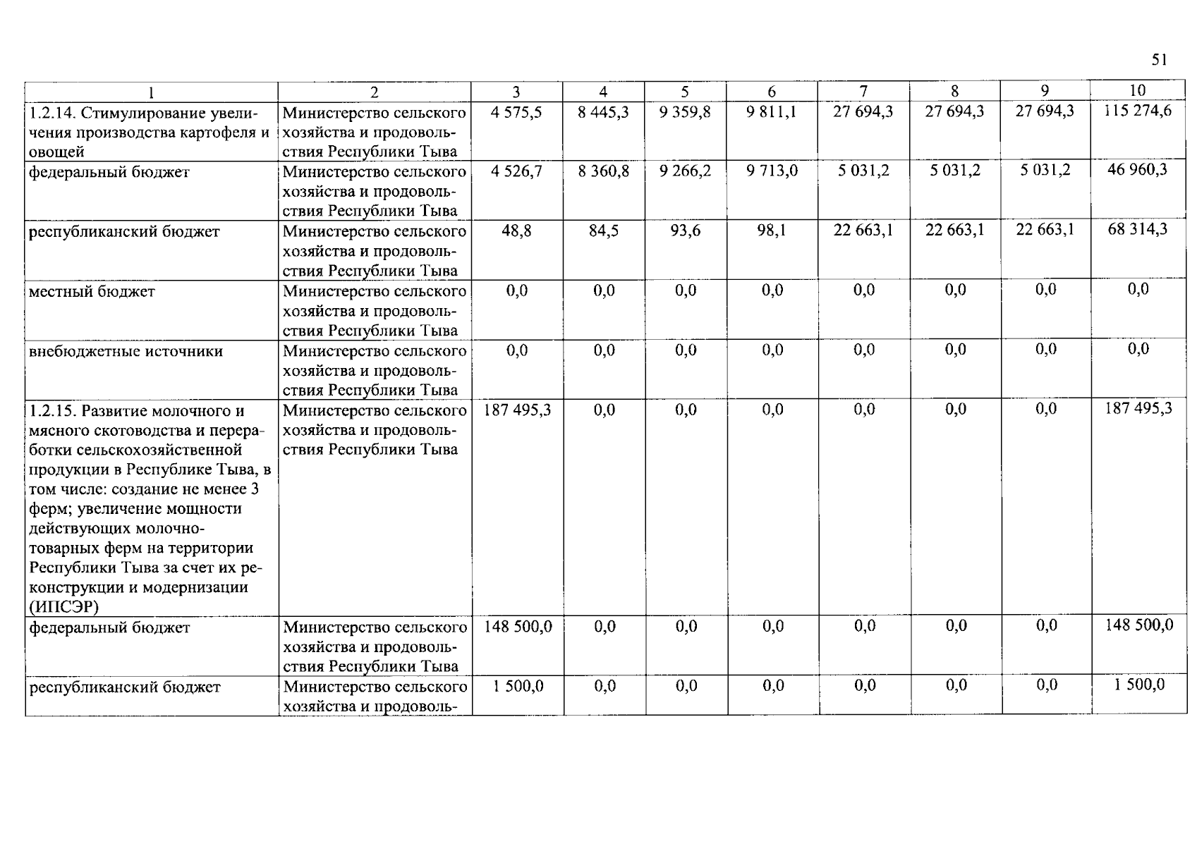
Постановление Правительства Республики Тыва от 26.02.2025 № 67
"О внесении изменений в государственную программу Республики Тыва "Развитие сельского хозяйства и регулирование рынков сельскохозяйственной продукции, сырья и продовольствия в Республике Тыва"
Номер опубликования: 1700202503060004
Дата опубликования: 06.03.2025
Страница №51 из 501:
Увеличить