Официальное опубликование правовых актов
ОФИЦИАЛЬНОЕ ОПУБЛИКОВАНИЕ
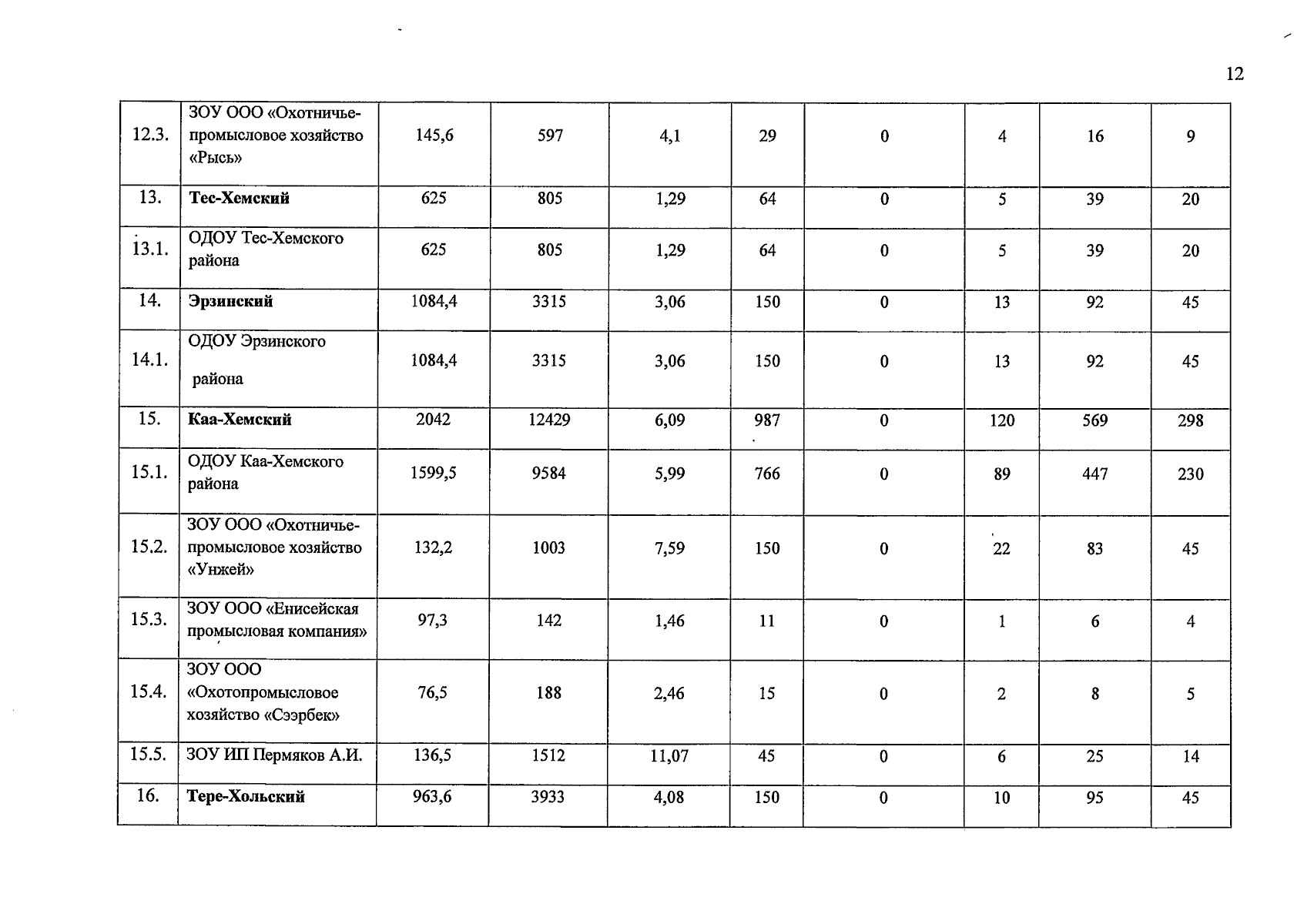
Указ Главы Республики Тыва от 10.01.2025 № 6
"О внесении изменений в приложения № 1-9 к Указу Главы Республики Тыва "О лимитах добычи охотничьих ресурсов на территории Республики Тыва на период с 1 августа 2024 года до 1 августа 2025 года"
Номер опубликования: 1700202501160001
Дата опубликования: 16.01.2025
Страница №12 из 14:
Увеличить