Официальное опубликование правовых актов
ОФИЦИАЛЬНОЕ ОПУБЛИКОВАНИЕ
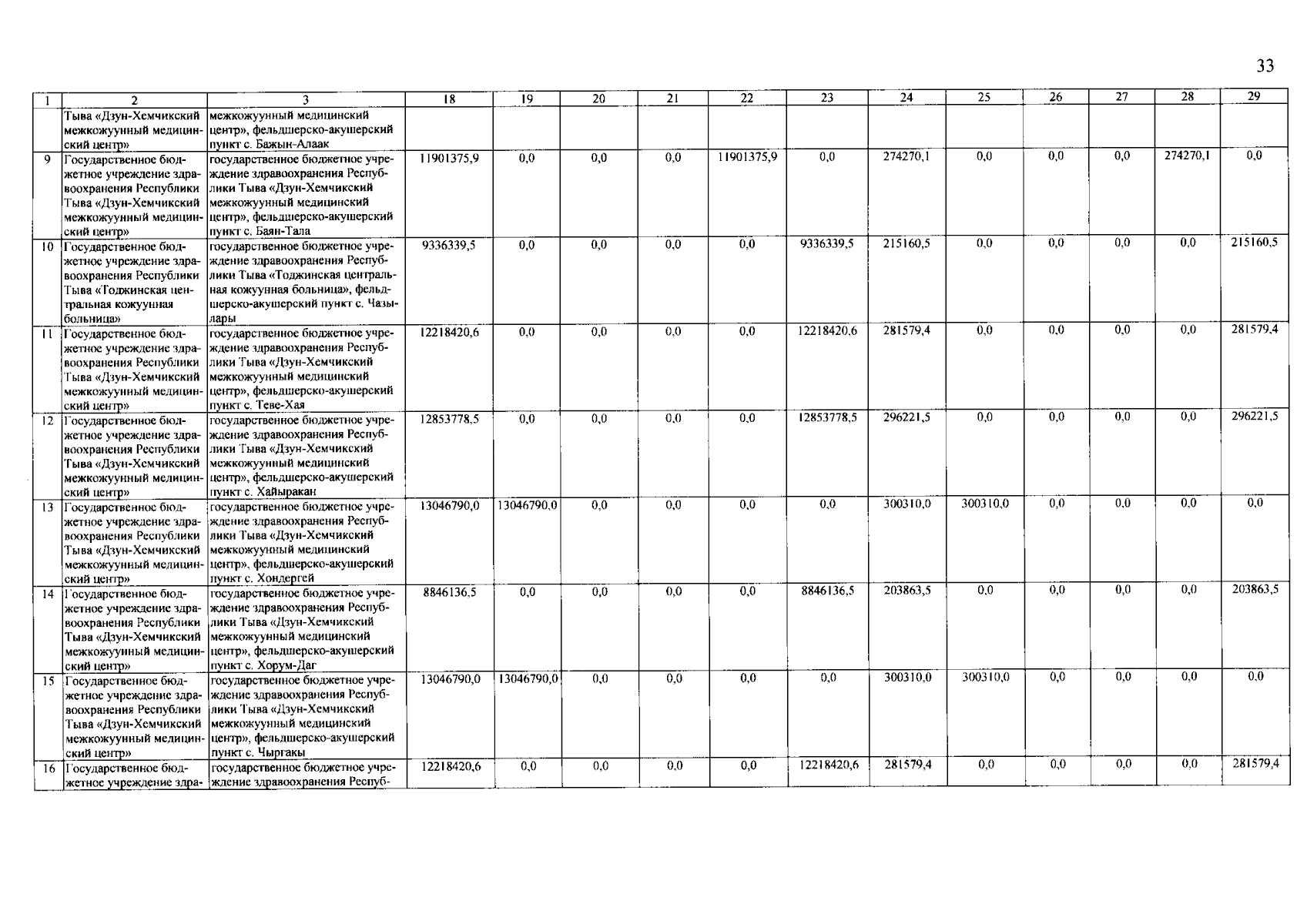
Постановление Правительства Республики Тыва от 25.12.2024 № 594
"О внесении изменений в региональную программу "Модернизация первичного звена здравоохранения Республики Тыва на 2021-2025 годы"
Номер опубликования: 1700202412280004
Дата опубликования: 28.12.2024
Страница №33 из 227:
Увеличить