Официальное опубликование правовых актов
ОФИЦИАЛЬНОЕ ОПУБЛИКОВАНИЕ
Постановление Правительства Республики Тыва от 23.12.2020 № 653
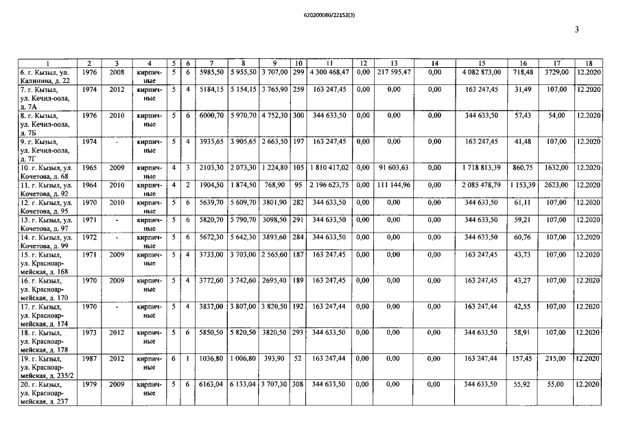
"О внесении изменения в краткосрочный план реализации региональной программы "Капитальный ремонт общего имущества в многоквартирных домах, расположенных на территории Республики Тыва, на 2014-2043 годы" на 2020-2022 годы"
Номер опубликования: 1700202012250002
Дата опубликования: 25.12.2020
Страница №3 из 29:
Увеличить