Официальное опубликование правовых актов
ОФИЦИАЛЬНОЕ ОПУБЛИКОВАНИЕ
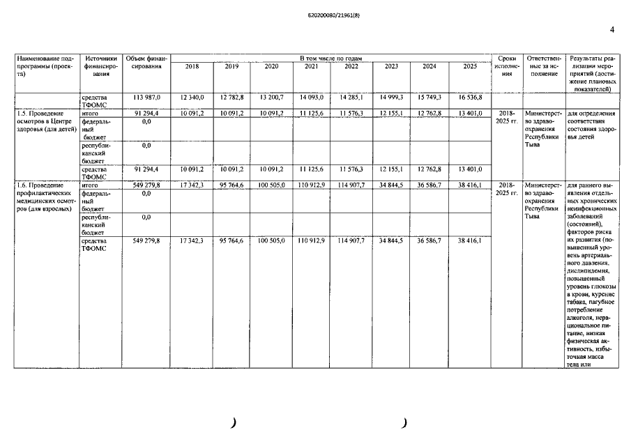
Постановление Правительства Республики Тыва от 16.11.2020 № 553
"О внесении изменений в государственную программу Республики Тыва "Развитие здравоохранения на 2018-2025 годы"
Номер опубликования: 1700202011190001
Дата опубликования: 19.11.2020
Страница №4 из 63:
Увеличить