Официальное опубликование правовых актов
ОФИЦИАЛЬНОЕ ОПУБЛИКОВАНИЕ
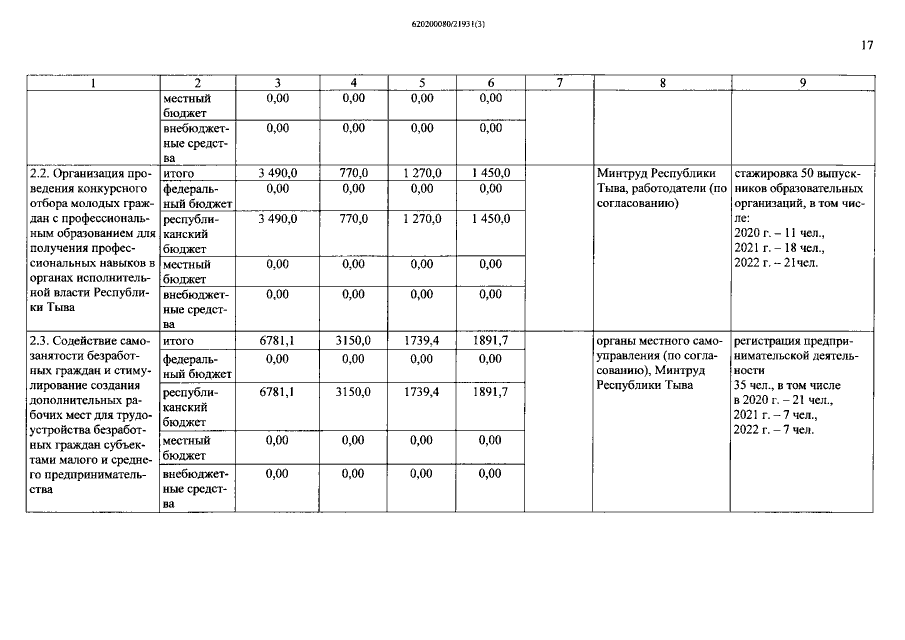
Постановление Правительства Республики Тыва от 09.11.2020 № 548
"О внесении изменений в государственную программу Республики Тыва "Содействие занятости населения на 2020-2022 годы"
Номер опубликования: 1700202011110002
Дата опубликования: 11.11.2020
Страница №17 из 35:
Увеличить