Указ Главы - Председателя Правительства Республики Тыва от 30.10.2020 № 252
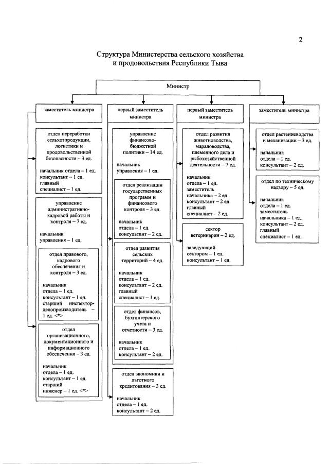
"О внесении изменения в структуру Министерства сельского хозяйства и продовольствия Республики Тыва"
"О внесении изменения в структуру Министерства сельского хозяйства и продовольствия Республики Тыва"
Номер опубликования: 1700202011020003
Дата опубликования:
02.11.2020
