Официальное опубликование правовых актов
ОФИЦИАЛЬНОЕ ОПУБЛИКОВАНИЕ
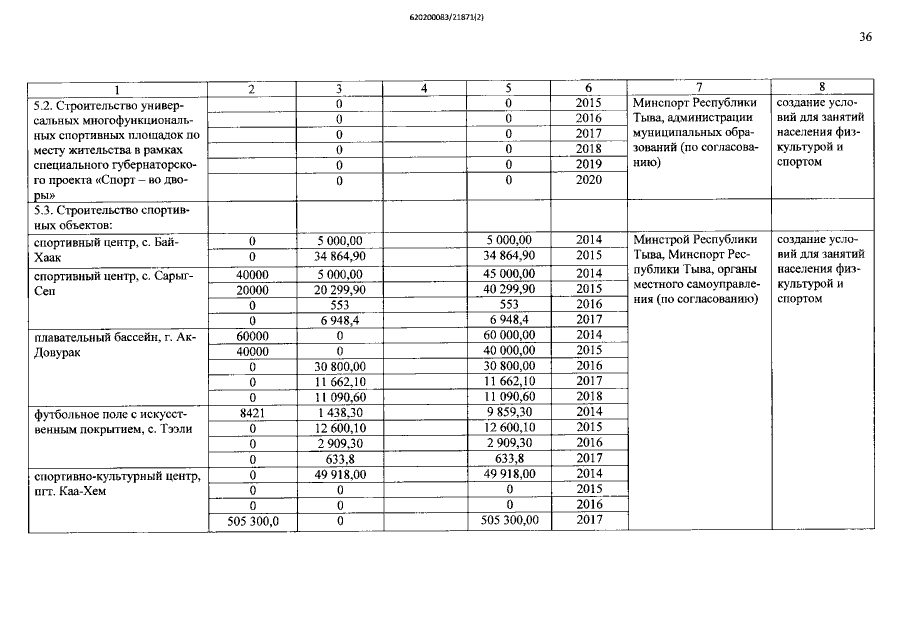
Постановление Правительства Республики Тыва от 27.10.2020 № 516
"О внесении изменений в государственную программу Республики Тыва "Развитие физической культуры и спорта до 2020 года"
Номер опубликования: 1700202010280001
Дата опубликования: 28.10.2020
Страница №36 из 41:
Увеличить