Официальное опубликование правовых актов
ОФИЦИАЛЬНОЕ ОПУБЛИКОВАНИЕ
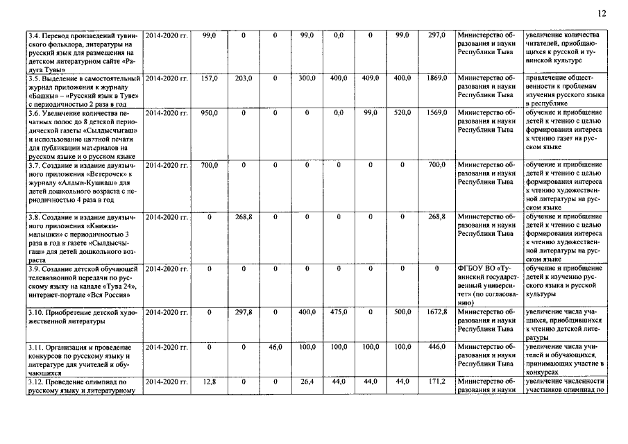
Постановление Правительства Республики Тыва от 14.08.2020 № 369
"О внесении изменений в государственную программу Республики Тыва "Развитие русского языка на 2014-2020 годы"
Номер опубликования: 1700202008170002
Дата опубликования: 17.08.2020
Страница №12 из 19:
Увеличить