Официальное опубликование правовых актов
ОФИЦИАЛЬНОЕ ОПУБЛИКОВАНИЕ
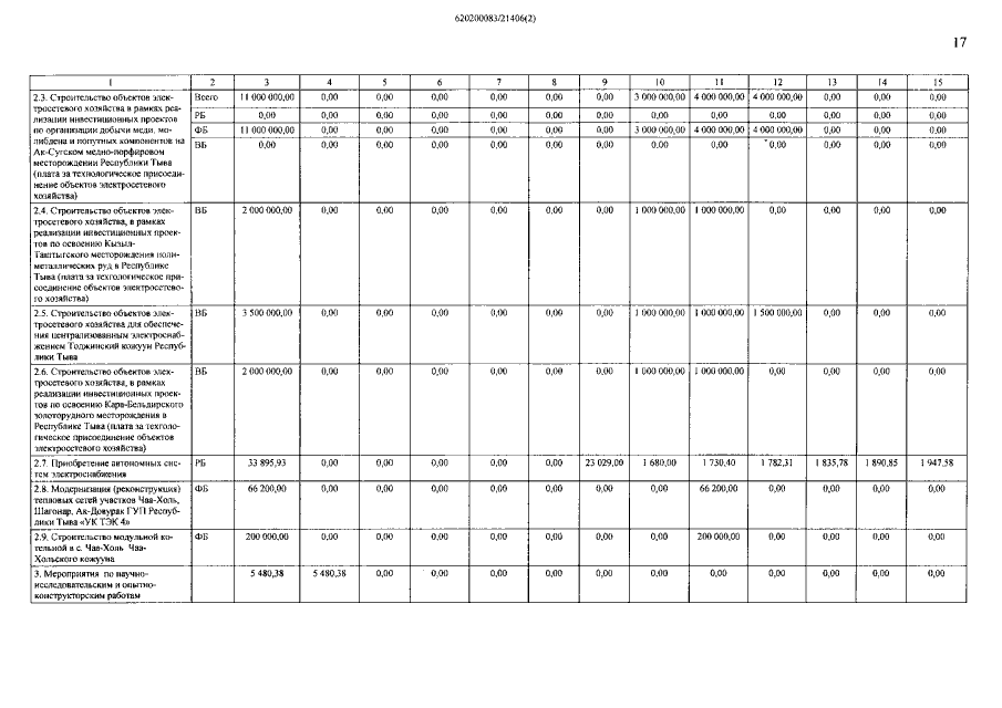
Постановление Правительства Республики Тыва от 30.06.2020 № 303
"О внесении изменений в государственную программу Республики Тыва "Энергоэффективность и развитие энергетики на 2014-2025 годы"
Номер опубликования: 1700202007030005
Дата опубликования: 03.07.2020
Страница №17 из 25:
Увеличить