Официальное опубликование правовых актов
ОФИЦИАЛЬНОЕ ОПУБЛИКОВАНИЕ
Постановление Правительства Республики Тыва от 22.05.2020 № 228
"О внесении изменений в постановление Правительства Республики Тыва от 26 мая 2014 г. № 219"
Номер опубликования: 1700202005250001
Дата опубликования: 25.05.2020
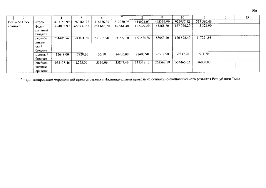
Страница №106 из 113:
Увеличить