Официальное опубликование правовых актов
ОФИЦИАЛЬНОЕ ОПУБЛИКОВАНИЕ
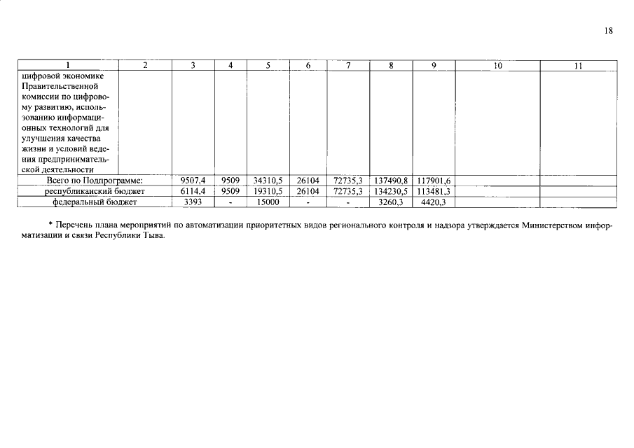
Постановление Правительства Республики Тыва от 10.12.2019 № 583
"О внесении изменений в государственную программу "Развитие информационного общества и средств массовой информации в Республике Тыва на 2014-2020 годы"
Номер опубликования: 1700201912110001
Дата опубликования: 11.12.2019
Страница №18 из 26:
Увеличить