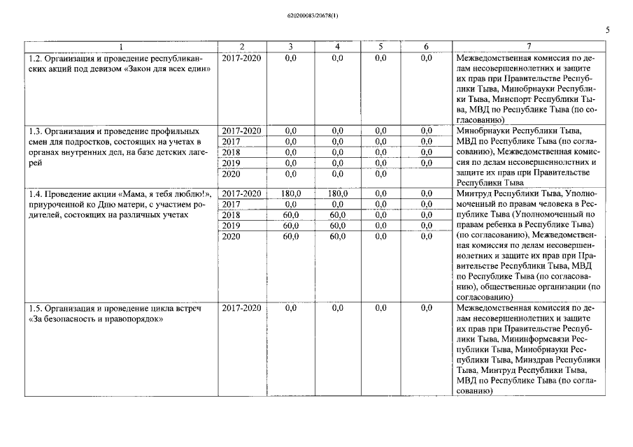
Постановление Правительства Республики Тыва от 04.12.2019 № 578 "О внесении изменений в постановление Правительства Республики Тыва от 28 февраля 2017 г. № 86 и признании утратившим силу постановления Правительства Республики Тыва от 28 февраля 2019 г. № 103"
Номер опубликования: 1700201912060002
Дата опубликования:
06.12.2019
