Официальное опубликование правовых актов
ОФИЦИАЛЬНОЕ ОПУБЛИКОВАНИЕ
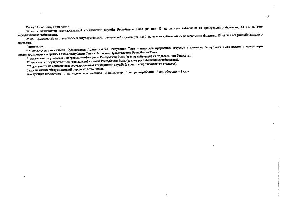
Указ Главы Республики Тыва от 29.07.2019 № 154 "О внесении изменения в структуру Министерства природных ресурсов и экологии Республики Тыва"
Номер опубликования: 1700201907310002
Дата опубликования: 31.07.2019
Страница №3 из 4:
Увеличить