Официальное опубликование правовых актов
ОФИЦИАЛЬНОЕ ОПУБЛИКОВАНИЕ
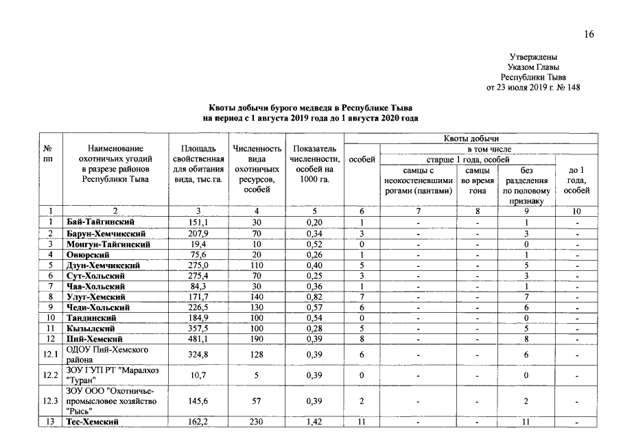
Указ Главы Республики Тыва от 23.07.2019 № 148 "О лимитах добычи охотничьих ресурсов на территории Республики Тыва на период с 1 августа 2019 года до 1 августа 2020 года"
Номер опубликования: 1700201907260003
Дата опубликования: 26.07.2019
Страница №18 из 21:
Увеличить