Официальное опубликование правовых актов
ОФИЦИАЛЬНОЕ ОПУБЛИКОВАНИЕ
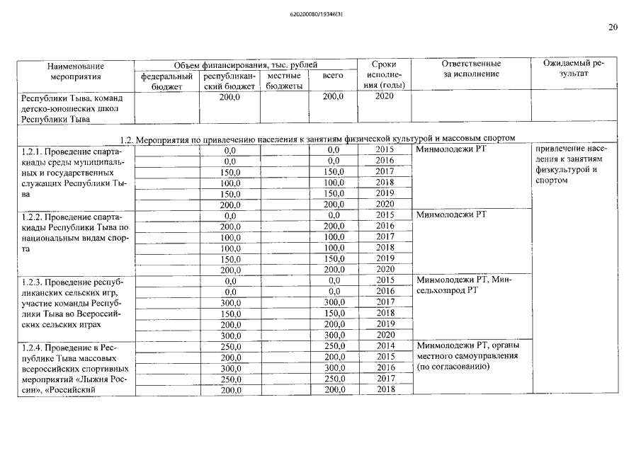
Постановление Правительства Республики Тыва от 25.12.2018 № 642 "О внесении изменений в государственную программу Республики Тыва "Развитие физической культуры и спорта до 2020 года"
Номер опубликования: 1700201812270012
Дата опубликования: 27.12.2018
Страница №20 из 63:
Увеличить