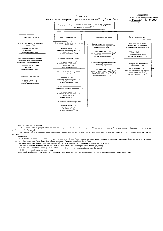
Указ Главы Республики Тыва от 16.11.2018 № 221 "Об утверждении структуры Министерства природных ресурсов и экологии Республики Тыва"
Номер опубликования: 1700201811200009
Дата опубликования:
20.11.2018
