Официальное опубликование правовых актов
ОФИЦИАЛЬНОЕ ОПУБЛИКОВАНИЕ
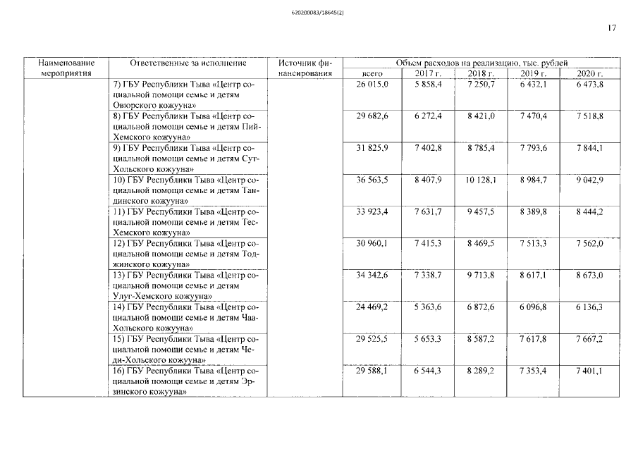
Постановление Правительства Республики Тыва от 18.07.2018 № 370 "О внесении изменений в государственную программу Республики Тыва "Социальная защита семьи и детей на 2017-2020 годы"
Номер опубликования: 1700201807190001
Дата опубликования: 19.07.2018
Страница №17 из 28:
Увеличить