Официальное опубликование правовых актов
ОФИЦИАЛЬНОЕ ОПУБЛИКОВАНИЕ
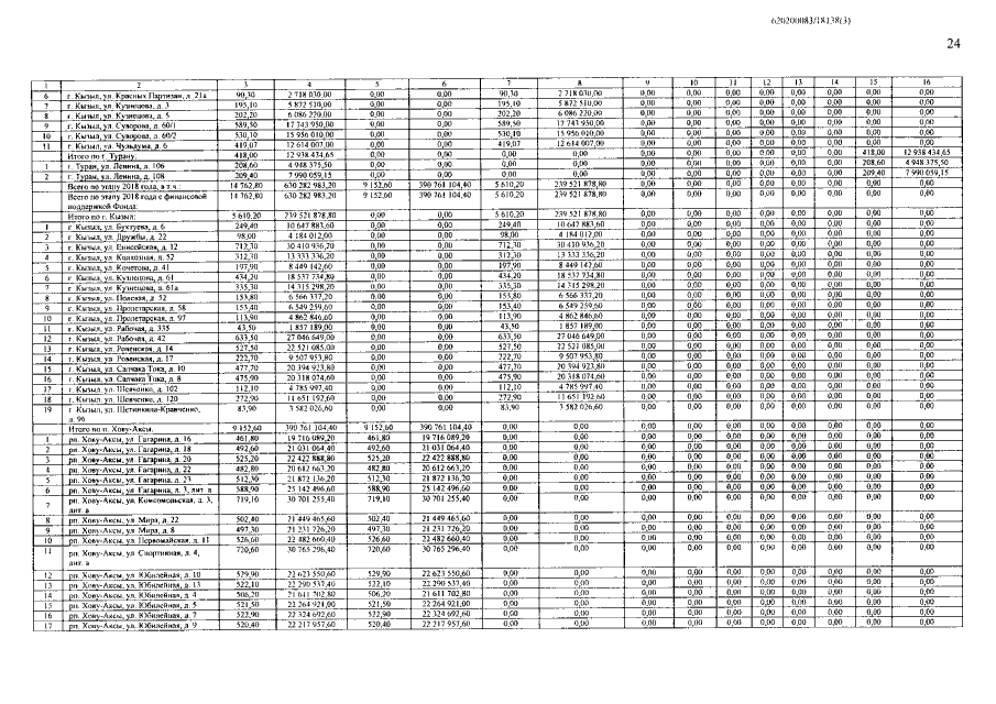
Постановление Правительства Республики Тыва от 13.02.2018 № 52 "О внесении изменений в республиканскую адресную программу по переселению граждан из аварийного жилищного фонда в Республике Тыва на 2013-2018 годы"
Номер опубликования: 1700201802150004
Дата опубликования: 15.02.2018
Страница №24 из 27:
Увеличить