Официальное опубликование правовых актов
ОФИЦИАЛЬНОЕ ОПУБЛИКОВАНИЕ
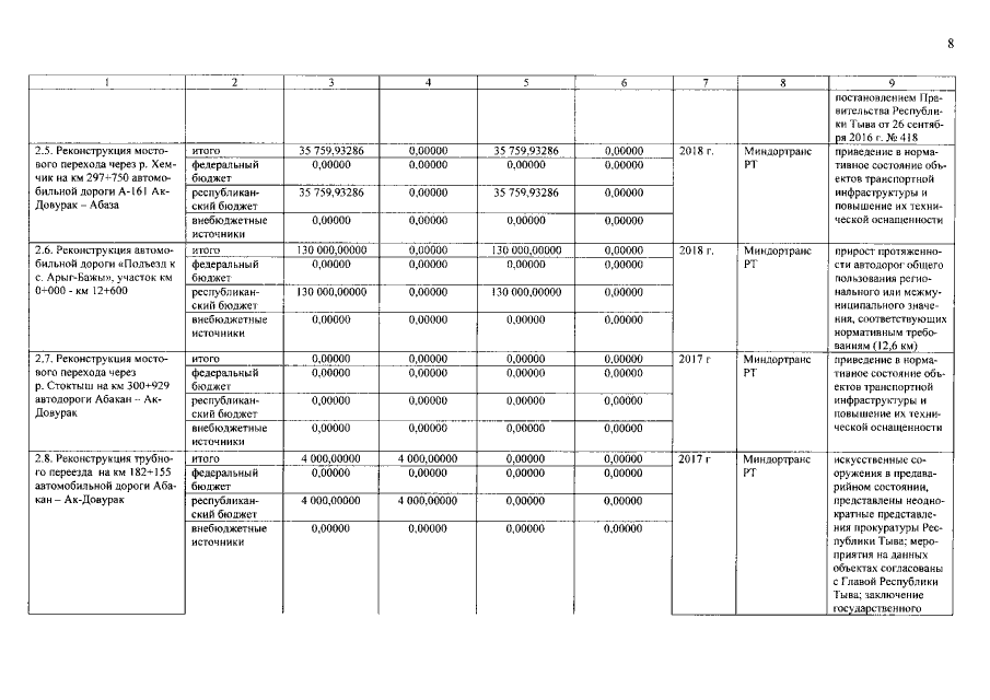
Постановление Правительства Республики Тыва от 29.12.2017 № 623 "О внесении изменений в государственную программу Республики Тыва "Развитие транспортной системы Республики Тыва на 2017-2019 годы"
Номер опубликования: 1700201801040004
Дата опубликования: 04.01.2018
Страница №8 из 65:
Увеличить