Официальное опубликование правовых актов
ОФИЦИАЛЬНОЕ ОПУБЛИКОВАНИЕ
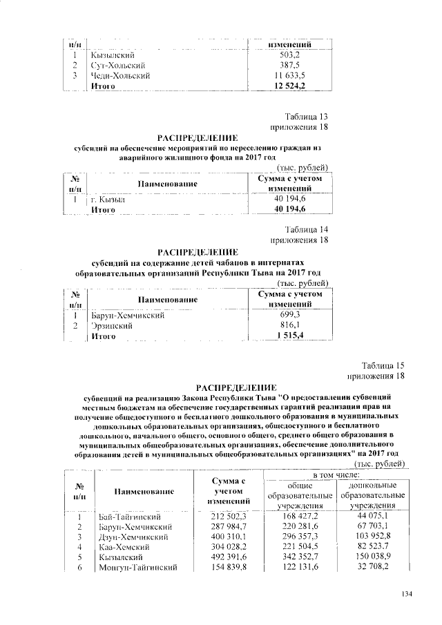
Закон Республики Тыва от 19.12.2017 № 341-ЗРТ
"О внесении изменений в Закон Республики Тыва "О республиканском бюджете Республики Тыва на 2017 год и на плановый период 2018 и 2019 годов"
Номер опубликования: 1700201712210004
Дата опубликования: 21.12.2017
Страница №134 из 145:
Увеличить