Официальное опубликование правовых актов
ОФИЦИАЛЬНОЕ ОПУБЛИКОВАНИЕ
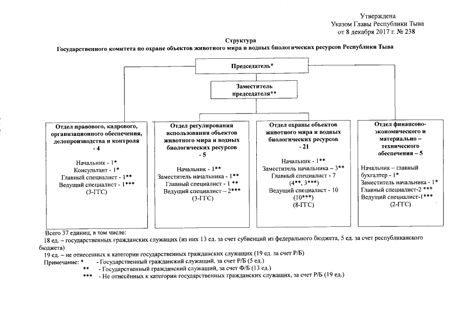
Указ Главы Республики Тыва от 08.12.2017 № 238
"Об утверждении структуры Государственного комитета по охране объектов животного мира и водных биологических ресурсов Республики Тыва"
Номер опубликования: 1700201712120005
Дата опубликования: 12.12.2017
Страница №2 из 2:
Увеличить