Официальное опубликование правовых актов
ОФИЦИАЛЬНОЕ ОПУБЛИКОВАНИЕ
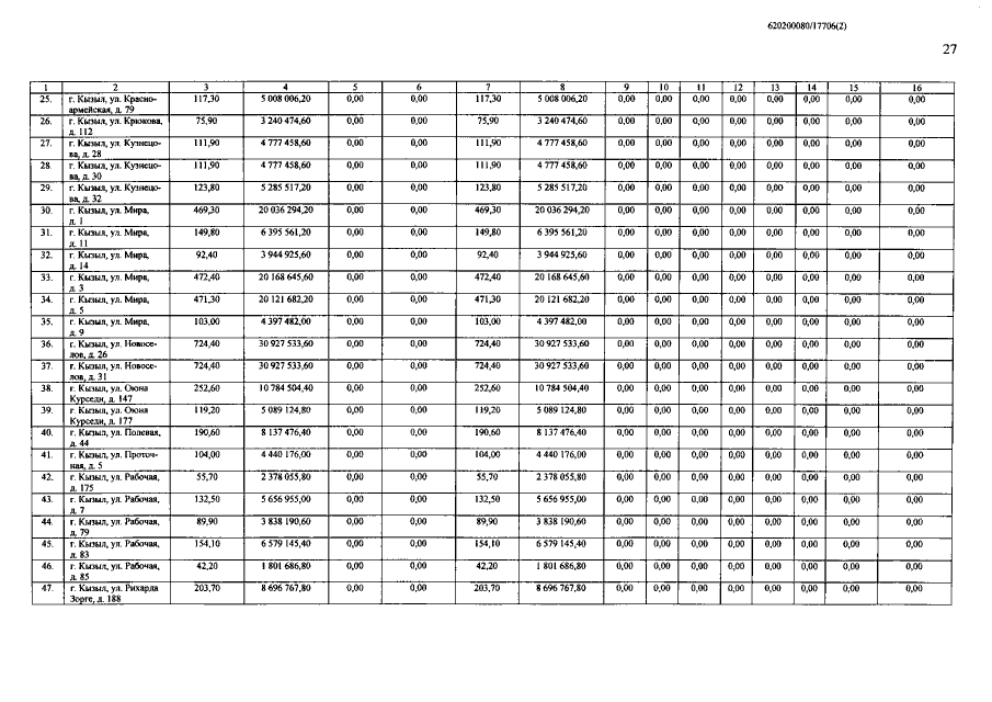
Постановление Правительства Республики Тыва от 18.10.2017 № 467 "О внесении изменений в республиканскую адресную программу по переселению граждан из аварийного жилищного фонда в Республике Тыва на 2013-2017 годы"
Номер опубликования: 1700201710190003
Дата опубликования: 19.10.2017
Страница №27 из 30:
Увеличить