Официальное опубликование правовых актов
ОФИЦИАЛЬНОЕ ОПУБЛИКОВАНИЕ
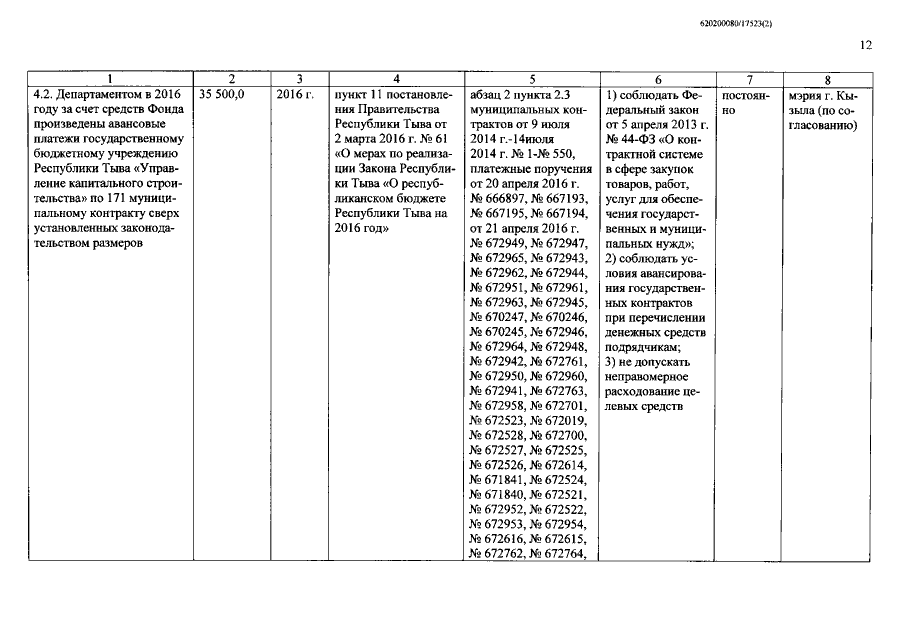
Постановление Правительства Республики Тыва от 31.08.2017 № 392 "Об утверждении плана мероприятий по устранению нарушений федерального законодательства, выявленных Федеральным казначейством по результатам внеплановых выездных проверок"
Номер опубликования: 1700201709010002
Дата опубликования: 01.09.2017
Страница №14 из 17:
Увеличить