Официальное опубликование правовых актов
ОФИЦИАЛЬНОЕ ОПУБЛИКОВАНИЕ
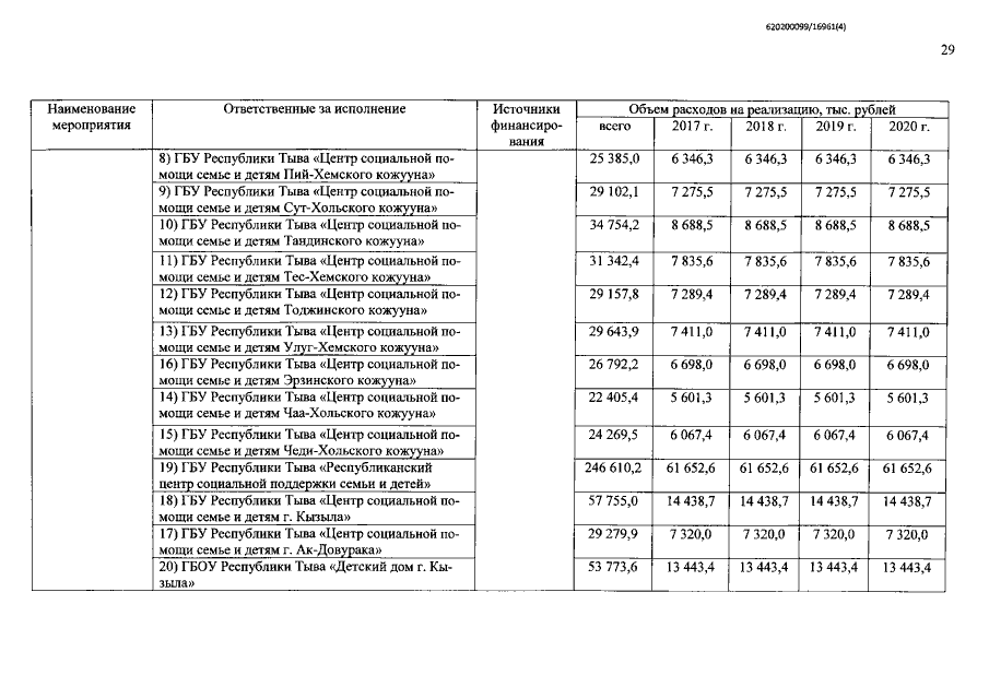
Постановление Правительства Республики Тыва от 21.04.2017 № 180 "О внесении изменений в государственную программу Республики Тыва "Социальная защита семьи и детей на 2017-2020 годы"
Номер опубликования: 1700201704240008
Дата опубликования: 24.04.2017
Страница №29 из 37:
Увеличить