Официальное опубликование правовых актов
ОФИЦИАЛЬНОЕ ОПУБЛИКОВАНИЕ
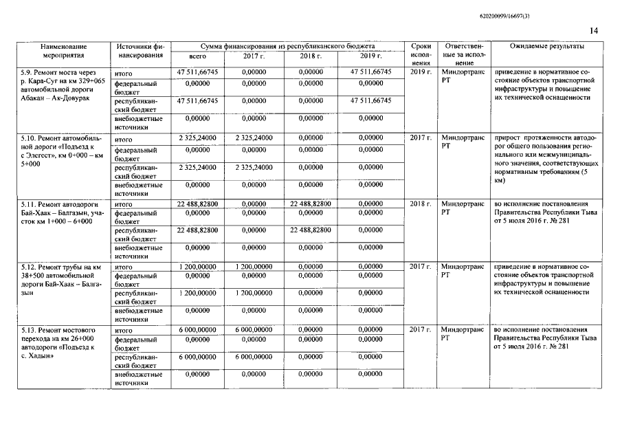
Постановление Правительства Республики Тыва от 30.01.2017 № 21 "О внесении изменений в государственную программу Республики Тыва "Развитие транспортной системы Республики Тыва на 2017-2019 годы"
Номер опубликования: 1700201701310001
Дата опубликования: 31.01.2017
Страница №14 из 54:
Увеличить