Официальное опубликование правовых актов
ОФИЦИАЛЬНОЕ ОПУБЛИКОВАНИЕ
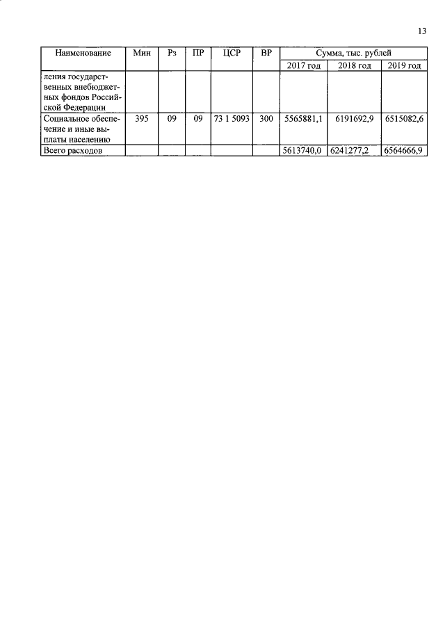
Закон Республики Тыва от 30.12.2016 № 246-ЗРТ
"О бюджете Территориального фонда обязательного медицинского страхования Республики Тыва на 2017 год и на плановый период 2018 и 2019 годов"
Номер опубликования: 1700201701030009
Дата опубликования: 03.01.2017
Страница №13 из 15:
Увеличить