Официальное опубликование правовых актов
ОФИЦИАЛЬНОЕ ОПУБЛИКОВАНИЕ
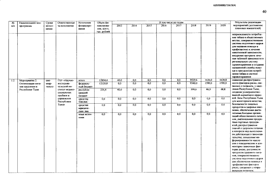
Постановление Правительства Республики Тыва от 27.04.2016 № 142 "О внесении изменений в государственную программу Республики Тыва "Развитие здравоохранения на 2013-2020 годы"
Номер опубликования: 1700201604290004
Дата опубликования: 29.04.2016
Страница №40 из 87:
Увеличить