Официальное опубликование правовых актов
ОФИЦИАЛЬНОЕ ОПУБЛИКОВАНИЕ
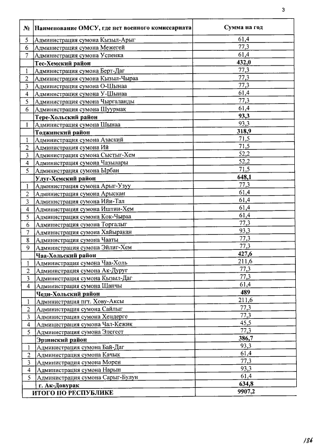
Закон Республики Тыва от 28.12.2015 № 139-ЗРТ
"О республиканском бюджете Республики Тыва на 2016 год"
Номер опубликования: 1700201512310014
Дата опубликования: 31.12.2015
Страница №186 из 217:
Увеличить