Официальное опубликование правовых актов
ОФИЦИАЛЬНОЕ ОПУБЛИКОВАНИЕ
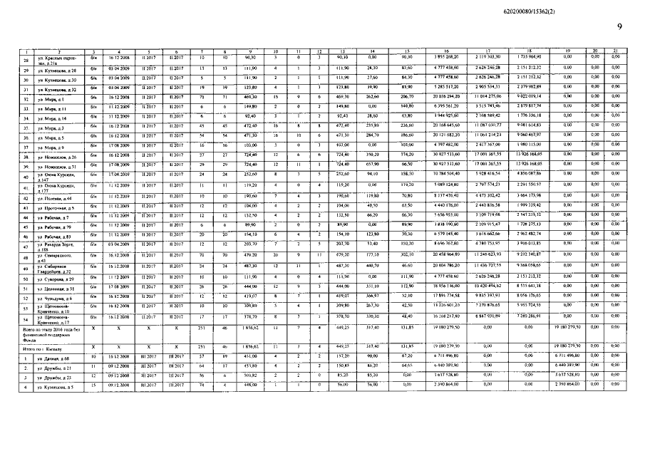
Постановление Правительства Республики Тыва от 23.12.2015 № 585 "О внесении изменений в республиканскую адресную программу по переселению граждан из аварийного жилищного фонда в Республике Тыва на 2013-2017 годы"
Номер опубликования: 1700201512230010
Дата опубликования: 23.12.2015
Страница №9 из 11:
Увеличить