Официальное опубликование правовых актов
ОФИЦИАЛЬНОЕ ОПУБЛИКОВАНИЕ
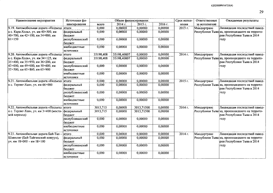
Постановление Правительства Республики Тыва от 01.07.2015 № 323 "О внесении изменений в государственную программу Республики Тыва "Развитие транспортной системы Республики Тыва на 2014-2016 годы"
Номер опубликования: 1700201507030007
Дата опубликования: 03.07.2015
Страница №29 из 41:
Увеличить