Официальное опубликование правовых актов
ОФИЦИАЛЬНОЕ ОПУБЛИКОВАНИЕ
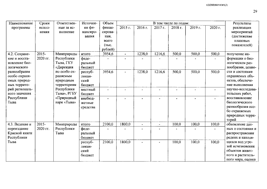
Постановление Правительства Республики Тыва от 15.04.2015 № 185 "О внесении изменений в государственную программу Республики Тыва "Охрана окружающей среды на период 2015-2020 годов"
Номер опубликования: 1700201504160001
Дата опубликования: 16.04.2015
Страница №29 из 38:
Увеличить