Официальное опубликование правовых актов
ОФИЦИАЛЬНОЕ ОПУБЛИКОВАНИЕ
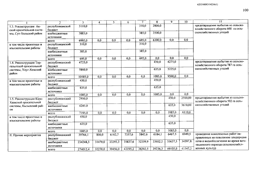
Постановление Правительства Республики Тыва от 24.02.2015 № 81 "О внесении изменений в государственную программу Республики Тыва "Развитие сельского хозяйства и регулирование рынков сельскохозяйственной продукции, сырья и продовольствия в Республике Тыва на 2014-2020 годы"
Номер опубликования: 1700201502260001
Дата опубликования: 26.02.2015
Страница №100 из 146:
Увеличить