Официальное опубликование правовых актов
ОФИЦИАЛЬНОЕ ОПУБЛИКОВАНИЕ
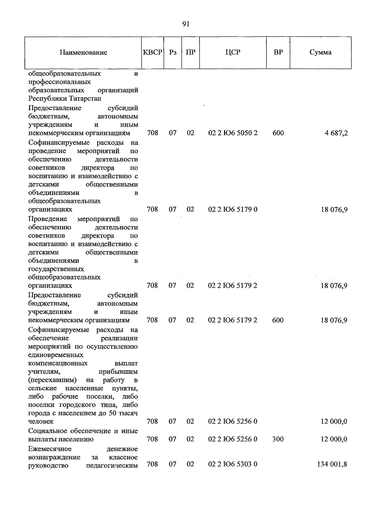
Закон Республики Татарстан от 24.12.2025 № 86-ЗРТ
"О внесении изменений в Закон Республики Татарстан "О бюджете Республики Татарстан на 2025 год и на плановый период 2026 и 2027 годов"
Номер опубликования: 1600202512290001
Дата опубликования: 29.12.2025
Страница №91 из 1558:
Увеличить