Официальное опубликование правовых актов
ОФИЦИАЛЬНОЕ ОПУБЛИКОВАНИЕ
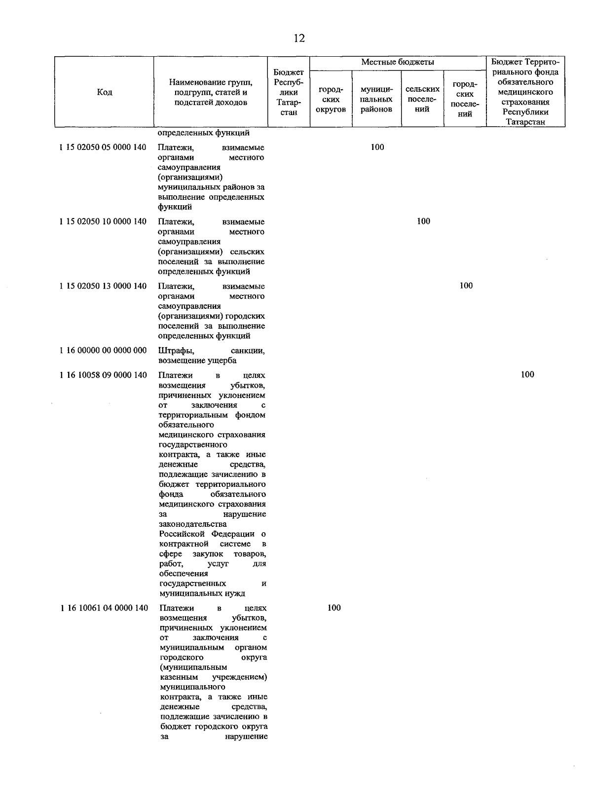
Закон Республики Татарстан от 29.11.2025 № 81-ЗРТ
"О бюджете Республики Татарстан на 2026 год и на плановый период 2027 и 2028 годов"
Номер опубликования: 1600202512050001
Дата опубликования: 05.12.2025
Страница №45 из 3358:
Увеличить