Официальное опубликование правовых актов
ОФИЦИАЛЬНОЕ ОПУБЛИКОВАНИЕ
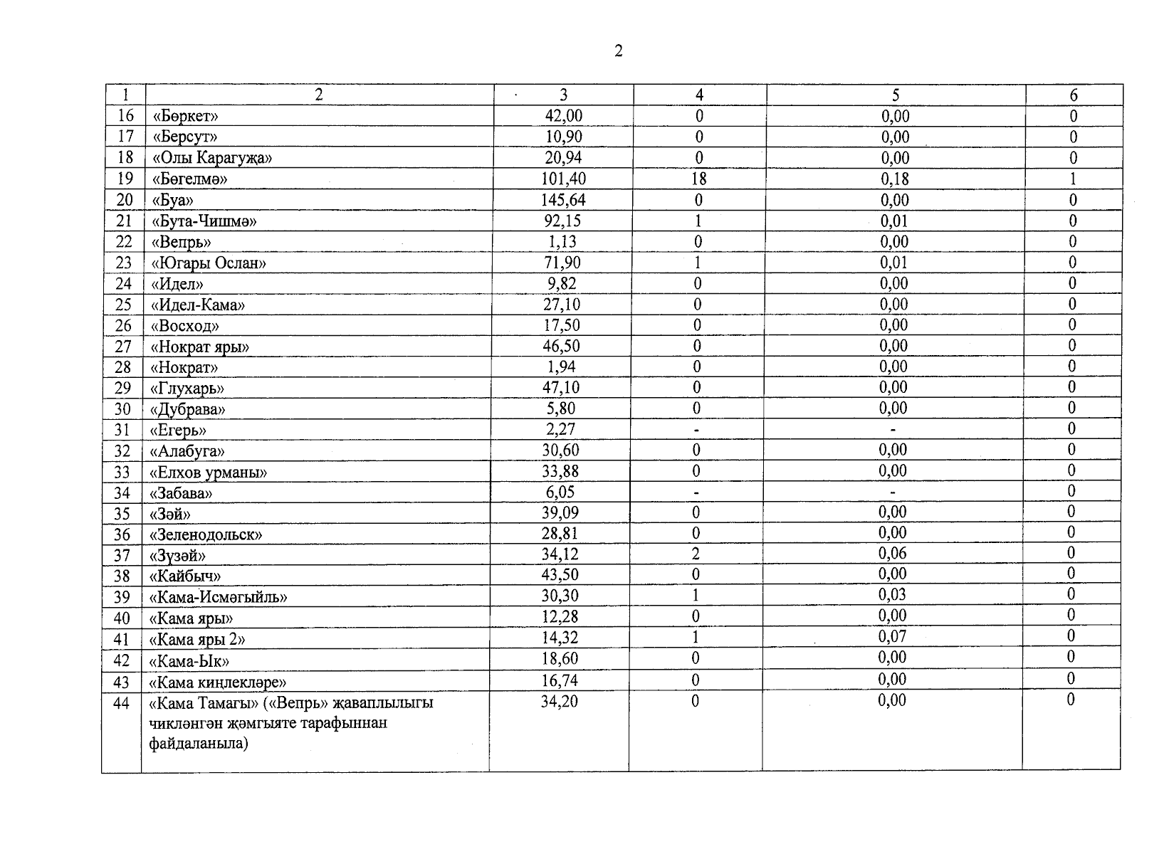
Указ Раиса Республики Татарстан от 30.07.2025 № 597
"Об утверждении лимита добычи охотничьих ресурсов на территории Республики Татарстан на период с 1 августа 2025 года до 1 августа 2026 года"
Номер опубликования: 1600202507310003
Дата опубликования: 31.07.2025
Страница №74 из 84:
Увеличить