Официальное опубликование правовых актов
ОФИЦИАЛЬНОЕ ОПУБЛИКОВАНИЕ
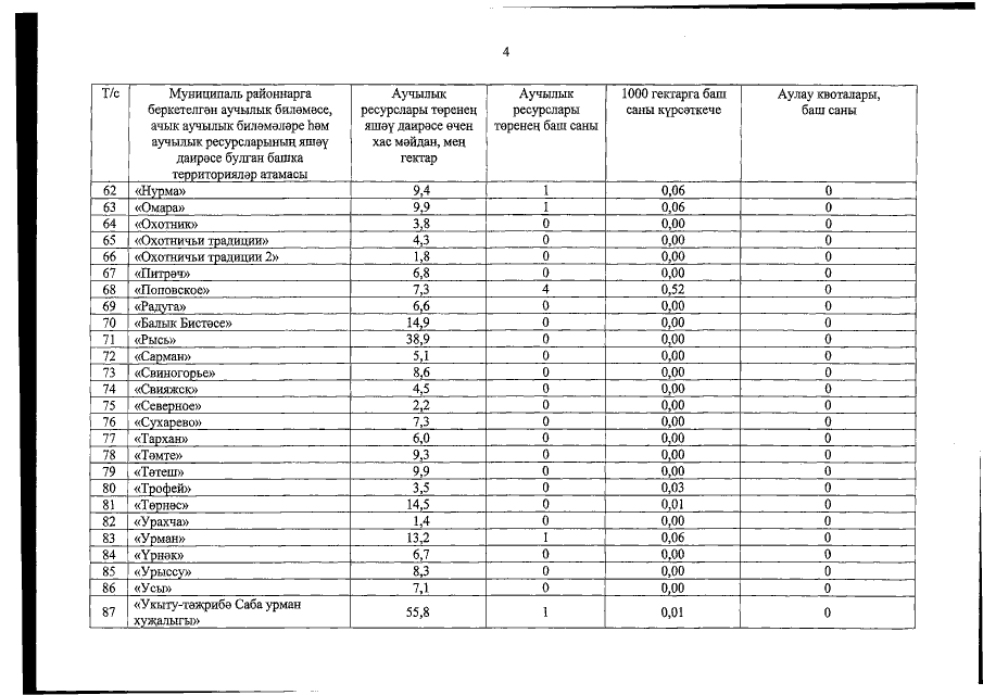
Указ Президента Республики Татарстан от 15.07.2019 № УП-409
"Об утверждении лимита добычи охотничьих ресурсов на территории Республики Татарстан на период с 1 августа 2019 года до 1 августа 2020 года"
Номер опубликования: 1600201907220001
Дата опубликования: 22.07.2019
Страница №48 из 56:
Увеличить