Официальное опубликование правовых актов
ОФИЦИАЛЬНОЕ ОПУБЛИКОВАНИЕ
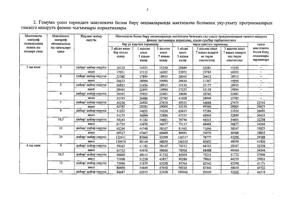
Закон Республики Татарстан от 22.09.2017 № 68-ЗРТ
"Об утверждении нормативов финансового обеспечения государственных гарантий реализации прав на получение общедоступного и бесплатного дошкольного образования в муниципальных образовательных организациях в Республике Татарстан на 2018 год"
Номер опубликования: 1600201709270001
Дата опубликования: 27.09.2017
Страница №12 из 18:
Увеличить