Официальное опубликование правовых актов
ОФИЦИАЛЬНОЕ ОПУБЛИКОВАНИЕ
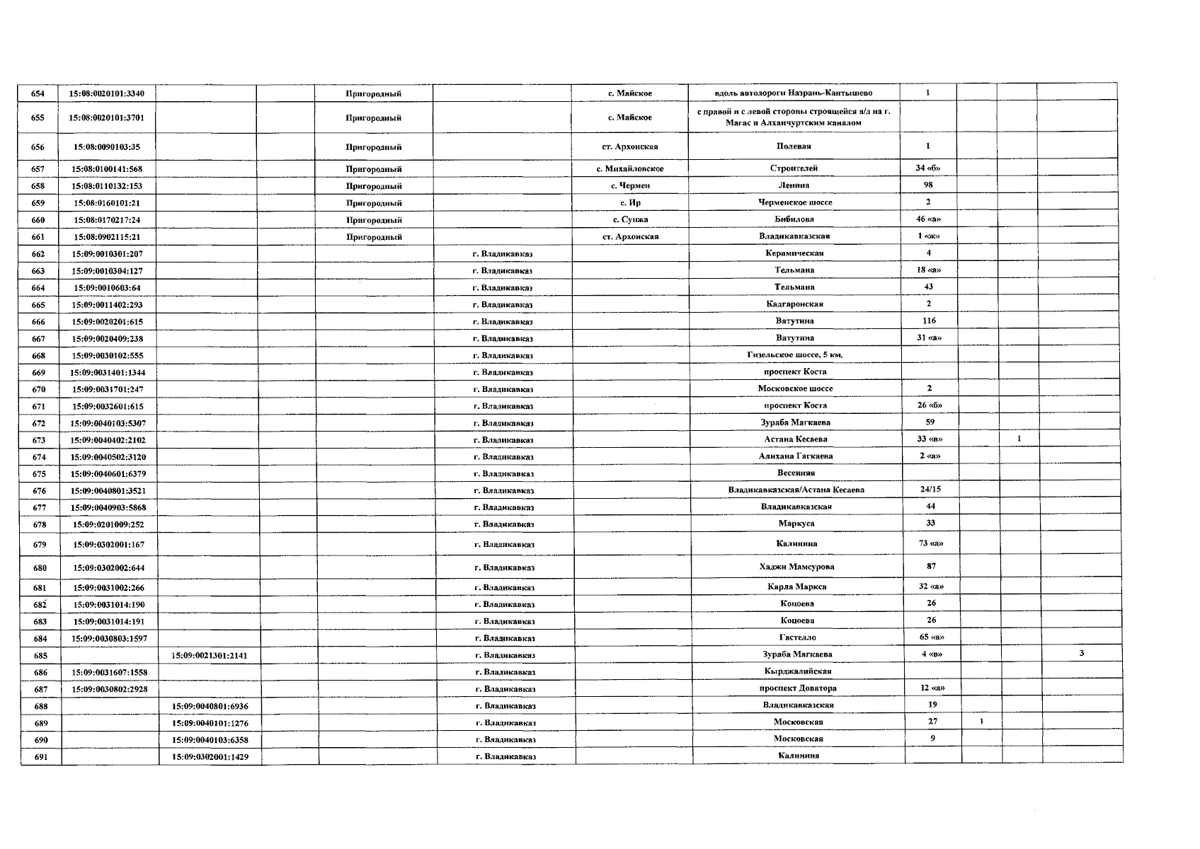
Распоряжение Министерства государственного имущества и земельных отношений Республики Северная Осетия-Алания от 23.12.2025 № 781
"Об утверждении перечня объектов недвижимого имущества, в отношении которых в 2026 году налоговая база определяется как их кадастровая стоимость"
(Зарегистрирован 26.12.2025 № 0291-25-1)
Номер опубликования: 1501202512290009
Дата опубликования: 29.12.2025
Страница №20 из 26:
Увеличить