Официальное опубликование правовых актов
ОФИЦИАЛЬНОЕ ОПУБЛИКОВАНИЕ
Приказ Министерства строительства и архитектуры Республики Северная Осетия-Алания от 11.12.2025 № 93
"Об утверждении генерального плана Ардонского городского поселения Ардонского муниципального района Республики Северная Осетия—Алания"
(Зарегистрирован 15.12.2025 № 0261-25-1)
Номер опубликования: 1501202512180001
Дата опубликования: 18.12.2025
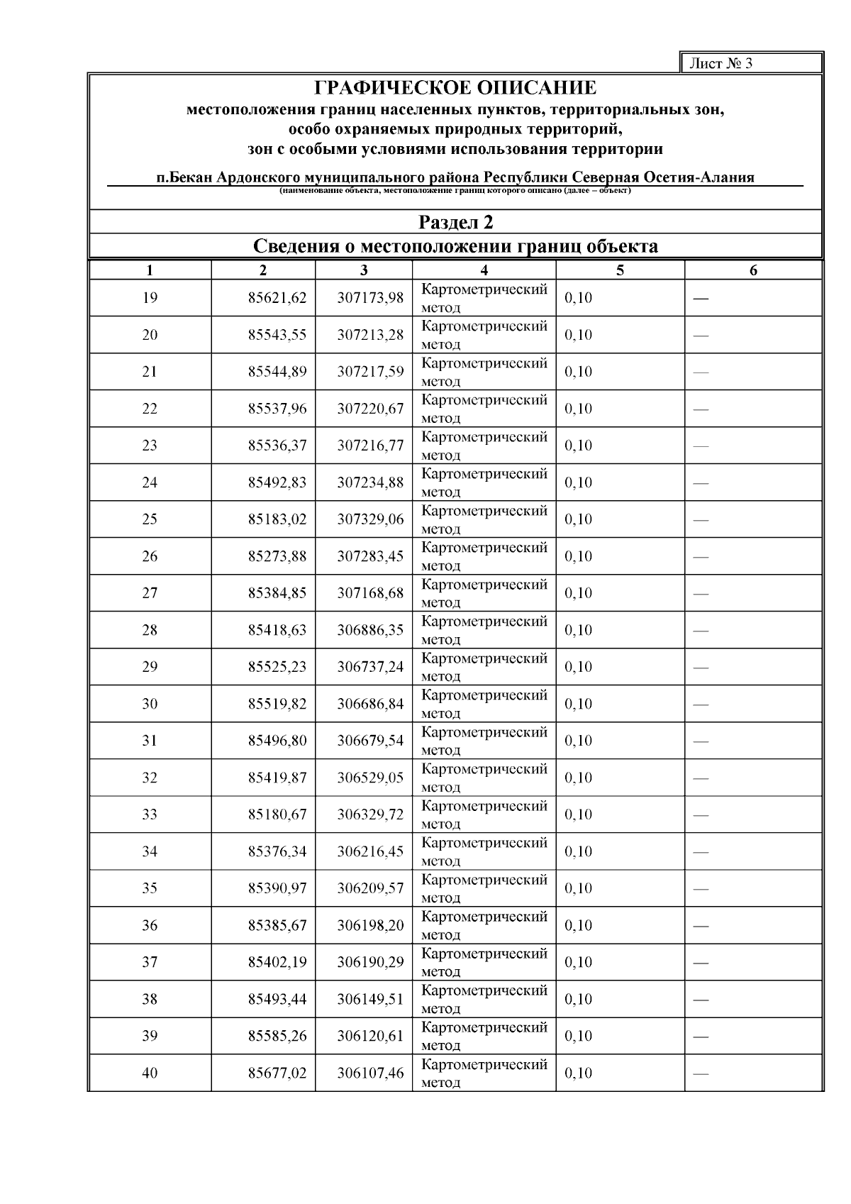
Страница №178 из 189:
Увеличить