Официальное опубликование правовых актов
ОФИЦИАЛЬНОЕ ОПУБЛИКОВАНИЕ
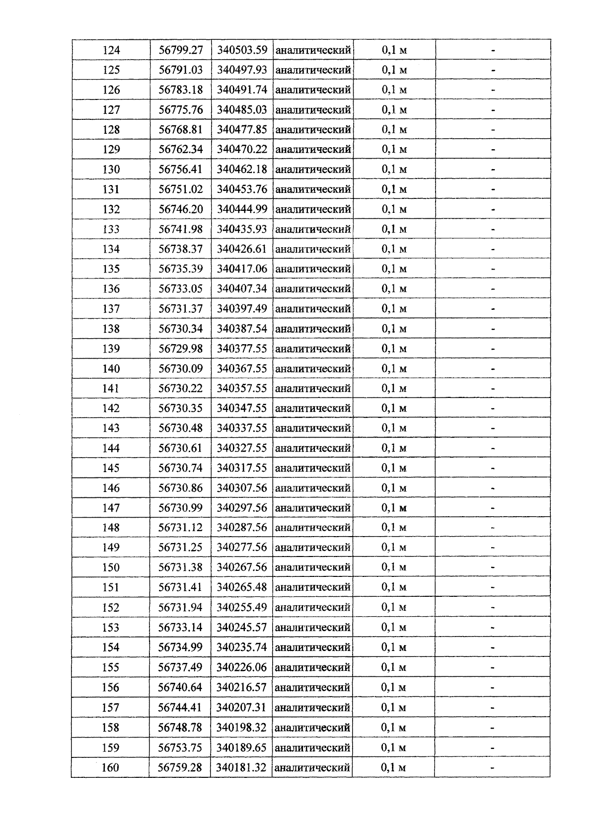
Приказ Комитета по охране и использованию объектов культурного наследия Республики Северная Осетия-Алания от 23.07.2025 № 183
"Об утверждении границ защитных зон объектов культурного наследия регионального значения, расположенных на территории муниципального образования г. Владикавказ Республики Северная Осетия-Алания"
(Зарегистрирован 25.07.2025 № 0138-25-2)
Номер опубликования: 1501202507310004
Дата опубликования: 31.07.2025
Страница №13 из 68:
Увеличить