Официальное опубликование правовых актов
ОФИЦИАЛЬНОЕ ОПУБЛИКОВАНИЕ
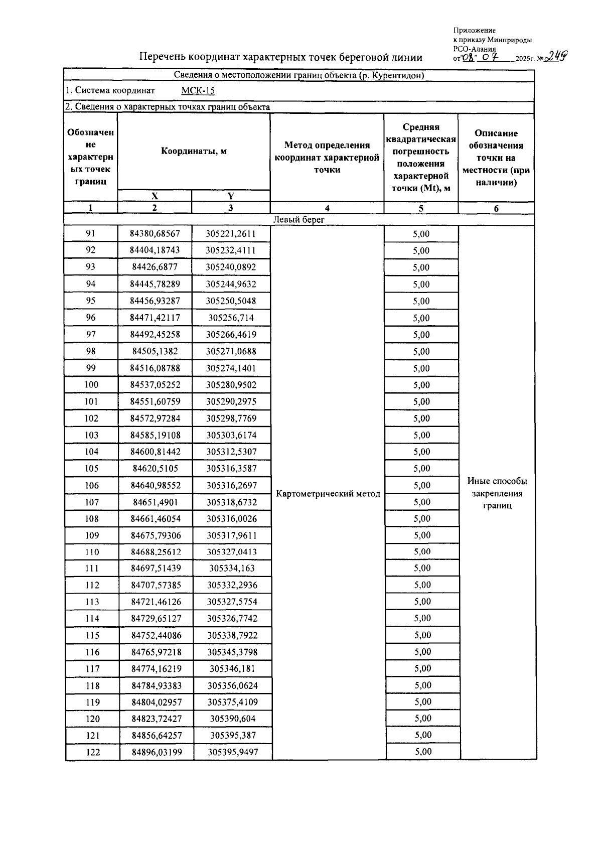
Приказ Министерства природных ресурсов и экологии Республики Северная Осетия-Алания от 08.07.2025 № 249
"Об уточнении местоположения береговой линии (границы водного объекта)"
(Зарегистрирован 09.07.2025 № 0121-25-1)
Номер опубликования: 1501202507140002
Дата опубликования: 14.07.2025
Страница №2 из 6:
Увеличить